买股票,如何估算一家公司的价值?有三种方法:用成本来估算、用市价来估算、用未来现金流贴现来估算。这里,先简要熟悉下:
利润表:可看出一家公司赚钱的能力。利润表是采用“权责基础”,任何一笔交易完成后,不管有没有收到货款,都应该记录在利润表的账上。
资产负债表:可看出一家公司在经营过程中,投入了多少资产和使用了多少资金(负债和所有者权益)。
现金流量表:可帮助我们了解一家公司利润表上赚到的获利是否能真正变成现金回到公司、以及赚来的现金花到哪里去了。
了解了这些,就能估算一家公司的价值了。
① 用成本来估算:即所有者权益(股东权益),这是公司真正的财产,也代表公司真正的价值,所以,一家公司合理的售价=总资产-总负债=所有者权益=公司净资产【也就是,你想要买一家公司,最多不应超过“公司净资产”的金额】,那么,这样一家公司每一股份值得花多少钱买下来呢?
每股价格=公司净资产/公司所有的股份总数
不合理之处在于:公司大部分的资产都是以当时的成本价记录在资产负债表中,万一这家公司拥有非常值钱的土地、建筑物或者特殊仪器等设备,这些升值的东西的价值是远大于记录在册的资产的。所以怎么给公司估值?——可以用第二种,用市价来估值。
② 用市价来估值:即清算价值方式,将公司持有的土地、建筑物、机械设备等资产,用市价方式类比卖出后的所得的金额=市价估算的总资产。那么,这家公司合理的价值=市价估算的总资产-总负债。
问题又来了,如果一家企业几乎没什么有形资产,办公设备也都是租的,只有一群厉害的技术人员在一起创业经营,但却能创造很多利润,那么,这家公司如何计算呢?也就是,人和技术的价值,无法在资产负债表上表现出来。这个时候就可以用DCF估算法了。
③ DCF法(Discounted Cash Flow):把这家公司未来会产生的所有现金流,都换算成现在的价值的一种计算方式。为什么要换算成现在的价值呢?因为时间就是金钱。本文主要讲解DCF法。
01
DCF的基本公式

从上面的计算公式我们可以看出有两个基本的输入变量:现金流CFt和折现率r,因此要想运用这个公式,我们得先弄明白两个概念:
1、自由现金流
DCF估值法的基础是对企业的财务预测,需要根据财务预测结果测算企业自由现金流(FCFF)。
我们先来看一个例子:
假设小王开了一个水果店,一天结束后,他卖出的水果一共收到了3000的现金,而批发水果的成本支出了1000现金,那么今天这家店的现金流就是2000元(现金流=现金流入量-现金流出量)。但是这2000元还远远谈不上“自由现金流”,因为这2000还要留1000的现金去批发水果补充货源,要留存将来支付给员工的工资300和店面租金200,这样一来就有1500是“不自由的现金流”,而剩下的500才可以为所欲为,所以这500元就是“自由现金流”。
企业自由现金流:指企业产生的、在满足了再投资需求之后剩余的、不影响公司持续发展前提下的、可供企业资本供应者/各种利益要求人(股东、债权人)分配的现金,即基于公司资产每年能够创造出的可用于股东和债权人分配的自由现金。
对于水果店这种微小企业,自由现金流的计算很简单,但是对于一般上市公司而言,就没那么简单了!
自由现金流(FCFF)=(税后净利润+税后利息费用+折旧与摊销+其他非现金支出)-营运资本追加-资本性支出
其中营运资本追加、资本性支出属于满足企业再投资需求的支出,因此需要扣除。
2、折现率(贴现率)
折现的意思就是把未来的钱放到现在来衡量其价值。折现率就是指将未来有限期预期收益折算成现值的比率。
首先我们先来思考这样一个问题:为什么相同数额的现金,未来的现金流没有当期的现金流值钱呢?
其实,用一句话简要来说就是因为货币具有时间价值。货币之所以有时间价值是因为:
(1)货币可以满足当前消费或用于投资而产生回报,货币占用具有机会成本。
(2)通货膨胀会致使货币贬值。
(3)投资有风险,需要提供风险补偿。
时间价值常常用政府债券支付的利息率(十年期国家债券平均收益率)表示这种机会成本,风险溢价则是由预期公司产生现金流的可能性决定的。
所以,对于市场上的公司来说,折现率 = 国债利率 + 风险溢价
02
DCF基本公式的理解
前面我们理解了为什么未来的100块的购买力不如现在的100块,折现率该怎么定量计算呢?举个例子:
假设现在猪肉价格是100块一斤,一年后105块。以猪肉的价格为标准,1年后的105块折算到现在就是100块。我们可以得出一个折现率r=(105-100)/100=5%,即一年期的折现率为5%。一年后的现金如果折算到现在都要除以(1+5%),如果这个值保持恒定,后一年的现金折算到现金需要除以2次(1+5%),以此类推。
那如果我们知道了一个企业的现金流以及折现率后,该怎么通过现金流贴现的方法对企业进行估值呢?
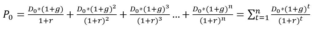
我们假设企业的未来1~n年的现金流为D1、D2、D3……Dn,假设折现率为恒定的r,那么未来n年的现金流折现到现在的公式如下:

这也就是我们前面列出的DCF估值法的基本公式,大家看到这里是不是能够更加理解这个公式的含义了呢?光理解还是远远不够的,接下来我们继续来学习一下在实际应用中,该如何使用这个DCF估值法!
03
DCF估值法的应用
自由现金流贴现模型主要有三种类型,包括永续增长模型、两阶段增长模型和三阶段增长模型。
1、永续增长模型
永续增长模型假设企业未来增长稳定,增长的速度是恒定的,那么企业的价值就成了下一期现金流的函数。
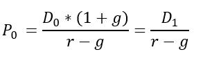
我们假设当前现金流为D0,企业自由现金流增长率是g,折现率为r,那么企业的价值为p0。那么企业的价值就是:

当n→∞的时候,化简得到:

举个例子:假设某企业的最近一期的每股自由现金流为D0=2元,每年以10%的速度递增,即g=10%,折现率r为12%,则可以用上式进行计算出当前合理股价应为110元。
注意:这里折现率r必须要大于自由现金流增长率g,否则的话是没有意义的!
2、两阶段增长模型
企业的发展都会经历不同的阶段,并且不同的阶段企业的增长速度是不同的,两阶段增长模型就是假设企业增长呈现两个阶段:第一阶段为超常增长阶段,又称为观测期,其增长率高于永续增长率;第二阶段是永续增长阶段,又称永续期,增长率为正常稳定的增长率。
假设第一阶段为贴现率恒定为r,前边n1年企业的增长率为g1,后边n2年的增长率为g2,则P0的计算如下:

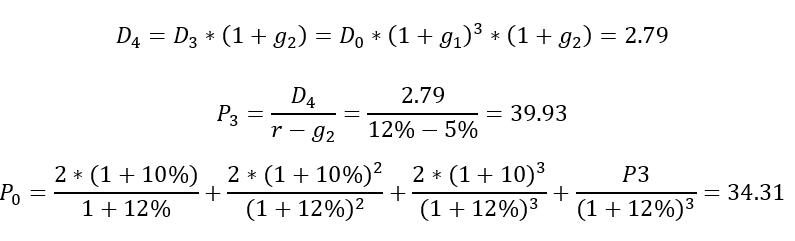
看到这个公式是不是头有点晕?看不懂没关系,我们继续举个例子来帮助理解一下:假设某企业的最近一期的每股自由现金流为D0=2元,前三年以10%的速度增加,即g1=10%,从第4年开始增长速度降为5%,即g2=5%,贴现率r仍然为12%。
因为第4年开始变为永续增长,那么第4年的现值计算可以直接套用永续增长模型,我们需要先计算第4年开始永续的价值,此时计算得到结果是贴现到第三年的(即P3),然后再次贴现到当前,得到该股票的当前股价为34.31元,计算过程如下:

3、三阶段增长模型

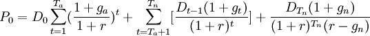
这里我们需要考虑三个阶段,假设贴现率恒定为r,三个阶段的增长率分别为ga 、gt 以及gn。 公司股票价值是超常增长阶段、过渡阶段以及稳定阶段预期现金流的现值总和。那么,可以得出在过渡期内任何时点上的增长率gt:

假设期初的现金流为D0 ,则P0的计算如下:

上面公式看起来较为复杂,使用起来不太方便,不过,目前有人将它编程写在计算器里,只要输入变量值就能计算出结果。
04
结论

总的来说,DCF=这n年所有期间的现值加总,这里有几个误区值得注意:
① 推估一家公司的价值,【营收】其实不是最重要的因素,因为扣除成本费用和所得税后,赚不赚钱也许是另一回事。所以,不要听到新闻上说某某公司营收创新高,你就立马杀进杀出的。
② 一家公司的价值,其实来自于现金流量。
③ 一家公司的价值,主要来自于它是否能创造源源不绝的利润与现金流,才算是找到强而有力的经营模式,而不是跟风什么O2O? P2P? 共享经济之类的美妙词汇。简单的说:一家公司如果没有能力盈利赚钱,为公司带来正的现金流量,再好听的商业模式,也不是什么好模式。
此外,由公式中,也可以发现,为了有效推估一家公司的价值,而采用DCF现金流折现法时,至少需掌握到三个核心要素:
· 现金流的金额
· 利率(折现率)
· 发生现金流的期间。
这三个要素中,尤其以第2个:利率(折现率)最为重要,因为利率只要有一丁点不同,算出来的现金流现值往往差别很大。
同时,在公式中也可以看出,当利率上升,公司价值DCF是下降的,所以,利率和股价是反向的关系。
好了,DCF估值法今天就介绍到这里了